31/10/2025 11:42
Pocetna
Novosti
?lanci
Forum
M. oglasi
Kontakt
Multi-medij
NEWS
Ostali News i korisni linkovi
Foto galerija - Portala
Video galerija - Portala
O Portalu
IMPRESSUM
Više o portalu
Javna tribina
RSS Vijesti
Linkovi
DVD
JVP
Zajednice
EU i Svijet
BLOG-vatrogasci
Razmjena linkova
LINKOVI-zajedno
Prijava
Korisnik
Lozinka
Niste korisnik?
Klikni ovdje
za registraciju.
Zaboravili ste lozinku?
ZatraĹľite novu
Ovdje
.
Posljednji ÄŚlanci
VISOKOTLA?NI MODUL P...
In.mem. Dragutin Sti...
KUP DVD ZAPREŠI?
1. KUP DVD GRANEŠINA
4.KUP DVD Repušnica
PRAVILA PORTALA
Oo Ne! Gdje je
JavaScript
?
Vas web browser nema ukljuèenu JavaScript ili ne pruza podrsku za JavaScript. Molimo Vas da
upalite JavaScript
na vasem web browseru da bi ispravno vidjeli nasu web stranicu,
ili
uradite nadogradite
na web browser koji pruza podrsku za JavaScript;
Firefox
,
Safari
,
Opera
,
Chrome
ili noviju verziju
Internet Explorera
, novija verzija od verzije 6.
Dobro dosli
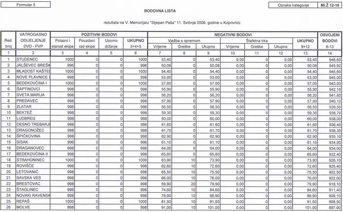
KOPRIVNICA: 5.Memorijal "Stjepan Paša"
Jučer je u Koprivnici uz prisustvo skoro 80 ekipa sa preko 800 natjecatelja iz cijele Hrvatske održan 5. "Memorijal Stjepan Paša"!
Video iskrenog
Ostvareni rezultati!
Acivi
na 12.05.2008 06:50:11
2 Komentari
· 2098 ProÄŤitano ·
·
Komentari
#1
lele
na 12. svibnja 2008 13:07
bili smo slabi, nemojte niti gledat listu
#2
lele
na 12. svibnja 2008 16:45
Ženska ekipa 3. mjesto,,bravo..
Ostavi komentar
Molimo logirajte se da ostavite komentar.
Ocjena
Samo korisnici mogu ocjeniti.
Molimo da se
prijavite
ili
registrujete
da bi ostavili Vašu ocjenu.
Još uvijek nije ocjenjeno.
Uvjeti objave:
UPOZORENJE
organizatorima
OBAVEZNO !
NATJECANJA
ZA 2025.
PRIJAVE
REZULTATI
Zadnji komentari:
dvdplesivica
u 19:06:43
[b]INTERNET STRANICE DVD PLEŠIVICA[/b] [-
url]https://dvd--
plesivica.spis.h-
vz.hr/7...
dvdplesivica
u 12:58:21
[b]FACEBOOK[/b] -
[url]https://ww-
w.facebook.com/e-
vents/1567962461-
255781/?acontext...
Mariner22
u 12:31:18
Bravo Senjani
Kid
u 11:16:00
Ne mogu, a da se ne javim i ponovim šta sam već spominjao. Pa normalno da Slavi...
dvdd
u 15:43:14
Konačno jedna doba vijest.
Mariner22
u 17:44:01
Čestitke učesnicima na rezultatima, i čestitke organizatoru!!!!
sbreza10
u 00:53:29
ČESTITAM! Konačno struka na zapovijednom mjestu! To me podsjeća na osamdesete go...
umorno_oko
u 17:02:55
Bravo cure! I momci, naravno!
Kid
u 15:02:07
čestitke i pozdrav svim vatrogascima povodom našeg blagdana svetog Florijana (Cv...
dvdd
u 18:57:44
HVALA!
ZADNJI OGLASI:
VZGGospic
u 12:01:57
[b]JAVNI POZIV ZA PRODAJU[/b] Pro-
davatelj DVD Pazarišta, Aleksinica 10, Klanac...
dbonin
u 16:05:19
Motorna visokotla?na pumpa + visokotla?no vitlo ( el. namatanje ) - Motor 13K...
DVDIvanec
u 11:58:44
[b]Dobrovoljno vatrogasno društvo Ivanec prodaje Magirus Deutz 192 D13 autoljest...
sasok413
u 20:31:49
Nadogradnja za vatrogasno vozilo za dvoosovinca pne-
umatski reflektor na krov...
wtomek
u 21:38:36
DVD Farkaševac prodaje vatrogasno vozilo: Marka: TAM 130 T 11 Godina proizvodn...
Arise Theme by
Domi
2011. Developed By:
DAMedia
71,776,540 unikatnih posjeta
Powered by
PHP-Fusion
copyright © 2002 - 2025 by Nick Jones.
Released as free software without warranties under
GNU Affero GPL
v3.
na 12. svibnja 2008 13:07
na 12. svibnja 2008 16:45